电力电容器无功补偿的种类特点和配置原则
因为感性负荷设备运行时,需要同时消耗有功功率和无功功率,这会造成比较严重的无功问题。而电力电容器是无功补偿装置,可以提供感性设备所需的无功功率,从而起到降低电能损耗、提高功率因数、改善电压质量等作用。在接下来的文章中,小库会详细介绍电力电容器无功补偿的种类的特点,以及无功补偿的配置原则。
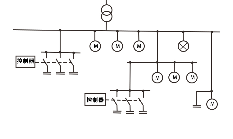
1、电容器无功补偿种类特点
目前电力电容器无功补偿主要有三种:集中补偿、分组补偿和就地补偿。
①集中补偿
在总变压器附近设置电力电容器组,可以补偿供电范围内的无功功率。
②分支补偿
在某一特定设备组附近设置电力电容器组,可以补偿该线路或该设备组的无功功率。
③就地补偿
在大容量负载设备附近安装电力电容器组,可以补偿该设备所需的无功功率。
2、电容器无功补偿的配置原则
无功补偿设备的配置,应该根据实际用电情况,使无功补偿取得合理效益。在进行无功补偿时,可以使用集中补偿与就地补偿相结合的方式,既在变电站进行大量的集中补偿,又对配电线路、配电变压器和用电设备进行就地补偿,大大提高企业经济效益。
随着国民经济的发展,企业的用电量急剧增加,因此电网经济运行日益受到重视。使用电力电容器进行无功补偿,是企业进行节能降耗的重要手段。但是进行无功补偿时,一定要注意无功补偿的种类特点以及配置原则等相关问题。
推荐阅读:采用并联电力电容器无功补偿对企业的好处

收藏库克库伯
在线留言
网站地图
全国24小时服务热线400-607-888618702183613 / 18702186953










联系方式/CONTACT INFORMATION
